
Source: Lin et al., 2021
\(\hookrightarrow\) GNN can be seen as an extension of CNN to any topology.

Source: [Zheng2022GraphNN]
\(\hookrightarrow\) Homophily characterizes the extent to which a node’s features resemble those of its neighbors.

A GNN boils down to:
Convolution (local dependencies)
Local Pooling (reduce dimension)
Global Pooling (=Readout): transform graph to vector
MLP classification
Convolutional filters, similar to CNNs, passed on the graph nodes to update them with respect to their neighbors’s features. Definition:
\[h_i' = \sigma \left( \sum_{j \in \mathcal{N}_i} \frac{1}{\sqrt{|\mathcal{N}_i| |\mathcal{N}_j|}} W h_j \right)\]Aggregating features from its neighbors, weighted by attention coefficients. Definition:
\[h'_i = \sigma\left(\sum_{j \in \mathcal{N}_i} \alpha_{ij} \mathbf{W}h_j\right)\] \(\alpha_{ij}\) : attention coefficient indicating the importance of node \(j\)’s features to node \(i\) \[\alpha_{ij} = \frac{\exp\left(\text{LeakyReLU}\left(\mathbf{a}^T[\mathbf{W}h_i \| \mathbf{W}h_j]\right)\right)}{\sum_{k \in \mathcal{N}_i} \exp\left(\text{LeakyReLU}\left(\mathbf{a}^T[\mathbf{W}h_i \| \mathbf{W}h_k]\right)\right)}\]
Maximize the representational/discriminative power of a GNN. Definition:
\[ \mathbf{h}^{\prime}_i = \text{MLP} \left( (1 + \epsilon) \cdot \mathbf{h}_i + \sum_{j \in \mathcal{N}_i} \mathbf{h}_j \right) \] \(\epsilon\) : learnable parameter or a fixed scalar
Top-K Pooling retains only the top-K nodes with the highest scores.

Top-K Pooling with attention scores.

Maximizing the Shannon Entropy

Pairing nodes based on scores.

| MUTAG | PROTEINS | ENZYMES | NCI1 | |
|---|---|---|---|---|
| Number of graphs | 188 | 1113 | 600 | 4110 |
| Number of classes | 2 | 2 | 6 | 2 |
| Number of features | 7 | 3 | 3 | 37 |
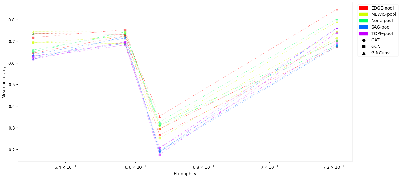
| Homophily | 0.721 | 0.657 | 0.667 | 0.631 |
Some graphs from MUTAG dataset (Source: bui2022ingrex)
Test the differences with Wilcoxon tests.
| p-value | Mean difference | Best architecture | |
|---|---|---|---|
| MUTAG | 0.258 | -0.008 | GINConv_EDGE_max |
| PROTEINS | 0.33 | 0.009 | GCN_EDGE_max |
| ENZYMES | 0.207 | -0.01 | GINConv_EDGE_mean |
Result
Since p-value > 0.05, the results are equivalent between mean and max readout. \(\hookrightarrow\) We will only keep the global max pooling



| ENZYMES | MUTAG | NCI1 | PROTEINS | Train time | ||
|---|---|---|---|---|---|---|
| EDGE | GCN | 0.294 ± 0.026 | 0.703 ± 0.081 | 0.717 ± 0.015 | 0.753 ± 0.024 | 1327 |
| GIN | 0.353 ± 0.039 | 0.847 ± 0.063 | 0.735 ± 0.010 | 0.731 ± 0.017 | 1156 | |
| MEWIS | GIN | 0.309 ± 0.055 | 0.789 ± 0.077 | 0.744 ± 0.006 | 0.743 ± 0.016 | 4365 |
| None | GCN | 0.316 ± 0.044 | 0.703 ± 0.065 | 0.651 ± 0.015 | 0.743 ± 0.029 | 40 |
| GIN | 0.327 ± 0.042 | 0.803 ± 0.068 | 0.734 ± 0.018 | 0.733 ± 0.028 | 59 | |
| SAG | GAT | 0.189 ± 0.025 | 0.676 ± 0.062 | 0.617 ± 0.024 | 0.722 ± 0.050 | 112 |
| GCN | 0.195 ± 0.033 | 0.682 ± 0.073 | 0.630 ± 0.021 | 0.689 ± 0.041 | 53 | |
| GIN | 0.188 ± 0.040 | 0.761 ± 0.081 | 0.639 ± 0.036 | 0.714 ± 0.039 | 59 | |
| TOPK | GAT | 0.208 ± 0.054 | 0.689 ± 0.093 | 0.623 ± 0.045 | 0.682 ± 0.033 | 110 |
| GCN | 0.176 ± 0.035 | 0.739 ± 0.075 | 0.631 ± 0.034 | 0.694 ± 0.032 | 55 | |
| GIN | 0.205 ± 0.056 | 0.761 ± 0.079 | 0.617 ± 0.033 | 0.697 ± 0.027 | 56 |
| Dataset | ENZYMES | MUTAG | NCI1 | PROTEINS |
|---|---|---|---|---|
| EDGE | GIN | GIN | GIN | GCN |
| MEWIS | GIN | GIN | GIN | GIN |
| None | GIN | GIN | GIN | GCN |
| SAG | GCN | GIN | GIN | GAT |
| TOPK | GAT | GIN | GCN | GIN |
| ENZYMES | MUTAG | NCI1 | PROTEINS | Total Time | ||
|---|---|---|---|---|---|---|
| GAT | MEWIS | \(0.295 \pm0.040\) | \(0.742 \pm0.086\) | \(0.693 \pm0.008\) | \(0.722 \pm0.022\) | 3225 |
| None | \(0.310 \pm0.053\) | \(0.679 \pm0.087\) | \(0.659 \pm0.023\) | \(0.734 \pm0.027\) | 90 | |
| GCN | EDGE | \(0.294 \pm0.026\) | \(0.703 \pm0.081\) | \(0.717 \pm0.015\) | \(0.753 \pm0.024\) | 1327 |
| None | \(0.316 \pm0.044\) | \(0.703 \pm0.065\) | \(0.651 \pm0.015\) | \(0.743 \pm0.029\) | 40 | |
| TOPK | \(0.176 \pm0.035\) | \(0.739 \pm0.075\) | \(0.631 \pm0.034\) | \(0.694 \pm0.032\) | 55 | |
| GIN | EDGE | \(0.353 \pm0.039\) | \(0.847 \pm0.063\) | \(0.735 \pm0.010\) | \(0.731 \pm0.017\) | 1156 |
| MEWIS | \(0.309 \pm0.055\) | \(0.789 \pm0.077\) | \(0.744 \pm0.006\) | \(0.743 \pm0.016\) | 4365 |
Best pooling per architecture :
| Dataset | ENZYMES | MUTAG | NCI1 | PROTEINS |
|---|---|---|---|---|
| GAT | None | MEWIS | MEWIS | None |
| GCN | None | TOPK | EDGE | EDGE |
| GIN | EDGE | EDGE | MEWIS | MEWIS |
Key idea
Work to be done